及時聯系我們為您解答產品相關疑問
歡迎撥打全國統一服務熱線

銷售電話: 027-8777 1781
027-8777 1782
服務電話: 133 9713 6633
傳真電話: 027-8777 1786
電子郵箱: whhdgk@126.com
新裝或大修的SF6斷路器,投入運行前必須測定年漏氣率。其方法步驟如下:
(1)將SF6斷路器所有密封環節用塑料薄膜包起來,放置4h,然后用SF6氣體撿漏儀檢測漏氣量。SF6氣體撿漏儀的操作應嚴格執行其說明書的操作步驟。
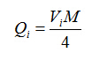
(2)計算每個密封環節的漏氣量為
式中
Vi——塑料薄膜與被檢設備之間所包的容積,mL;
M——檢漏儀的指示值ppm(V)。
(3)計算SF6斷路器的年泄漏率q
如果已知設備的氣體容積,則利用如下公式計算
式中
P——SF6氣體額定氣壓,MPa;
V——SF6氣體絕緣設備的容積,mL;
(4)如果已知SF6斷路器氣體重量,用如下公式計算
式中
r——SF6氣體的密度,6.14×10-3g/mL;
W——被檢SF6斷路器氣體重要,kg。
華電高科主要經營電氣設備、電子產品、儀器儀表制造、安裝;計算機軟件開發;電子元器件、電線電纜、五金交電批發等串聯諧振實驗裝置、絕緣耐壓測試設備、避雷器電纜測試設備、繼保/回路測試設備、開關斷路器檢測設備、蓄電池/直流測試設備等。華電高科供應電力檢測設備、高壓試驗設備、電力實驗設備、電力檢修設備等產品,真正的為客戶創造價值、節省費用,實現“設備永續、設備無憂”!
有關產品購買、信息咨詢、技術資料等歡迎致電::027-87771780 或是
版權說明:本站所有文章、圖片、視頻等資料的版權均屬于武漢華電高科電氣設備有限公司,其他任何網站或單位未經允許禁止轉載、用于商業盈利,違者必究。如需使用,請與我們聯系;允許轉載的文章、圖片、視頻等資料請注明出處"來自:武漢華電高科"。
?